www.initeh.ru

главная
контакты

 

Пьер Ферма
1601-1665

«Завещание Ферма»

Приведем в заключение сводку результатов Ферма по теории чисел, приведенную им в упомянутом письме к Каркави, который после смерти Мерсенна занял его место в кружке парижских математиков:

1. Не существует прямоугольного треугольника в числах, площадь которого была бы квадратом.

2. Нет куба, который разбивался бы на два куба,

3. Уравнение х2 + 2 = у3 имеет единственное решение в целых числах х=5, у=3.

4. Уравнение х2 + 4 = у3 имеет только два реше-ния в целых числах х = 2, у = 2 и х = 11, у = 5.

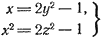
5. Система уравнений

имеет только два решения в целых числах: х = у = z = 1 и х = 7, у = 2, z = 5.

В том же письме утверждается, что каждое целое число может быть представлено суммою не более четырех квадратов. Это доказал Лагранж.

Приведем заключительные строки этого письма, которое получило название «завещание Ферма»:

«Быть может, потомство будет признательно мне за то, что я показал ему, что Древние не все знали, и это может проникнуть в сознание тех, которые придут после меня для передачи факела сыновьям, как говорит великий канцлер Англии, следуя чувствам которого, я добавлю: «Многие будут приходить и уходить, а наука обогащается»».

По материалам книги
"Замечательные ученые"
под ред. С.П. Капицы

предыдущая / главная

© Все права сохранены. Initeh.ru